你提供的照片可能用于改善必应图片处理服务。
隐私政策
|
使用条款
无法使用此链接。检查链接是否以 "http://" 或 "https://" 开头,然后重试。
无法处理此搜索。请尝试其他图像或关键字。
试用视觉搜索
使用图像搜索、识别对象和文本、翻译或解决问题
将一个或多个图像拖到此处,
上传图像
或
打开相机
将图像放到此处以开始搜索
要使用可视化搜索,请在浏览器中启用相机
English
全部
搜索
图片
灵感
创建
集合
视频
地图
资讯
更多
购物
航班
旅游
笔记本
自动播放所有 GIF
在这里更改自动播放及其他图像设置
自动播放所有 GIF
拨动开关以打开
自动播放 GIF
图片尺寸
全部
小
中
大
特大
至少... *
自定义宽度
x
自定义高度
像素
请为宽度和高度输入一个数字
颜色
全部
仅限颜色
黑白
类型
全部
照片
剪贴画
素描
动画 GIF
透明
版式
全部
方形
横版
高
人物
全部
仅脸部
半身像
日期
全部
过去 24 小时
过去一周
过去一个月
去年
授权
全部
所有创作共用
公共领域
免费分享和使用
在商业上免费分享和使用
免费修改、分享和使用
在商业上免费修改、分享和使用
详细了解
清除筛选条件
安全搜索:
中等
严格
中等(默认)
关闭
筛选器
734×187
imageeprocessing.com
Template Matching in MATLAB | IMAGE PROCESSING
514×869
imageeprocessing.com
Template Matching in M…
1280×684
imageeprocessing.com
Template Matching in MATLAB | IMAGE PROCESSING
620×535
Stack Overflow
image processing - Matlab Template Matching Using FF…
474×266
in.pinterest.com
Matlab Template Matching - Templates.blue
474×331
in.pinterest.com
Template Matching Between Images in MATLAB
160×120
ww2.mathworks.cn
Template Matching - Example - File Exc…
870×809
Stack Overflow
Create matching template to detect image in Matl…
867×810
Stack Overflow
Create matching template to detect image in Matl…
664×675
Stack Overflow
Create matching template to detect image in Matlab - S…
604×355
pemrogramanmatlab.com
Template Matching Menggunakan MATLAB | Pemrograman Matlab
903×506
pemrogramanmatlab.com
Template Matching Menggunakan MATLAB | Pemrograman Matlab
850×1100
researchgate.net
(PDF) Template matching using PO…
560×420
Stack Overflow
Create matching template to detect image in Matlab - Stack …
417×388
Stack Overflow
Create matching template to detect image in Matla…
500×375
github.io
template matching basics
977×413
blog.roboflow.com
What is Template Matching? An Introduction.
980×422
blog.roboflow.com
What is Template Matching? An Introduction.
1600×522
blog.roboflow.com
What is Template Matching? An Introduction.
1600×679
blog.roboflow.com
What is Template Matching? An Introduction.
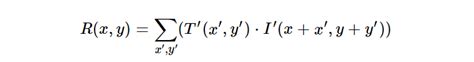
747×99
blog.roboflow.com
What is Template Matching? An Introduction.
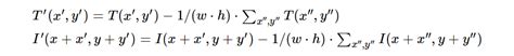
956×105
blog.roboflow.com
What is Template Matching? An Introduction.
640×390
blog.roboflow.com
What is Template Matching? An Introduction.
887×111
blog.roboflow.com
What is Template Matching? An Introduction.
500×332
Stack Overflow
matlab - Template matching - Stack Overflow
676×470
Stack Overflow
Pattern matching matlab - Stack Overflow
958×524
opto-e.com
Template matching | Opto Engineering
1024×768
SlideServe
PPT - Template Matching PowerPoint Presentation, free download - ID:434777
850×525
researchgate.net
Template Matching principle | Download Scientific Diagram
320×320
researchgate.net
Template Matching principle | Download Scientific Diagram
640×640
researchgate.net
Example of template matching. | Download Scie…
850×321
researchgate.net
The result of template matching | Download Scientific Diagram
850×839
researchgate.net
The process of template matching | Download Sci…
160×120
MathWorks
Template Matching - File Exchange - MAT…
1024×600
williamson-ga.us
Template Matching In Image Processing Template Matching Pattern Recognition – willia…
某些结果已被隐藏,因为你可能无法访问这些结果。
显示无法访问的结果
报告不当内容
请选择下列任一选项。
无关
低俗内容
成人
儿童性侵犯
反馈