你提供的照片可能用于改善必应图片处理服务。
隐私政策
|
使用条款
无法使用此链接。检查链接是否以 "http://" 或 "https://" 开头,然后重试。
无法处理此搜索。请尝试其他图像或关键字。
试用视觉搜索
使用图像搜索、识别对象和文本、翻译或解决问题
将一个或多个图像拖到此处,
上传图像
或
打开相机
将图像放到此处以开始搜索
要使用可视化搜索,请在浏览器中启用相机
English
全部
搜索
图片
灵感
创建
集合
视频
地图
资讯
更多
购物
航班
旅游
笔记本
自动播放所有 GIF
在这里更改自动播放及其他图像设置
自动播放所有 GIF
拨动开关以打开
自动播放 GIF
图片尺寸
全部
小
中
大
特大
至少... *
自定义宽度
x
自定义高度
像素
请为宽度和高度输入一个数字
颜色
全部
仅限颜色
黑白
类型
全部
照片
剪贴画
素描
动画 GIF
透明
版式
全部
方形
横版
高
人物
全部
仅脸部
半身像
日期
全部
过去 24 小时
过去一周
过去一个月
去年
授权
全部
所有创作共用
公共领域
免费分享和使用
在商业上免费分享和使用
免费修改、分享和使用
在商业上免费修改、分享和使用
详细了解
清除筛选条件
安全搜索:
中等
严格
中等(默认)
关闭
筛选器
850×392
researchgate.net
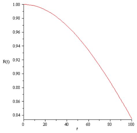
Reliability function R(t). Reliability function R(t). | Download Scientific Diagram
553×326
accendoreliability.com
Review: What is the Reliability of the Reliability Function?
713×692
researchgate.net
Reliability function. | Download Scientifi…
799×1121
researchgate.net
Reliability function comp…
793×486
researchgate.net
Reliability function R(x) | Download Scientific Diagram
705×449
researchgate.net
Reliability Function. | Download Scientific Diagram
900×590
isaacscienceblog.com
Reliability Function – Isaac's science blog
720×540
slidetodoc.com
Chapter Two Reliability Function Topics Unreliability Function Reliability
452×640
slideshare.net
2. reliability function | PDF
320×320
researchgate.net
Reliability function. | Download Scientific Di…
717×468
researchgate.net
Reliability function. | Download Scientific Diagram
850×583
researchgate.net
Reliability function: reliability indices vs time. | Download Scientific Diagram
850×333
researchgate.net
Reliability function as a function of e. (a) The changes of reliability... | Download Scientific ...
656×568
researchgate.net
Utility function of reliability | Download Scientific Diagram
681×662
researchgate.net
The reliability function versus time. | Download Scientifi…
435×327
researchgate.net
4: Reliability as a function of frequency. | Download Scientific Dia…
850×379
researchgate.net
Plot of estimates of reliability function | Download Scientific Diagram
850×706
researchgate.net
a Reliability function of the single component system, b reliability..…
850×377
researchgate.net
Plot of reliability function and its estimates | Download Scientific Diagram
320×320
researchgate.net
Classical Reliability function vs. Preventative Mainten…
674×485
researchgate.net
The graph of reliability function R(t) | Download Scientific Diagram
850×646
researchgate.net
shows the reliability function | Download Scientific Diagram
850×496
researchgate.net
The reliability function of the product. | Download High-Resolution Scientific Diagr…
365×331
researchgate.net
Reliability function at the 100% load | Download Sc…
850×400
researchgate.net
The reliability function for the first model. | Download Scientific Diagram
850×679
researchgate.net
Reliability function curves of different cases. | Downloa…
160×72
support.ptc.com
Reliability Function
624×561
researchgate.net
Series: Estimates of system reliability functi…
795×254
researchgate.net
Computation of the Reliability function R(t). | Download Scientific Diagram
680×479
researchgate.net
Reliability as a function of time (t) | Download Scientific Diagram
850×557
researchgate.net
Reliability function at different values of parameters | Download Scientifi…
850×354
researchgate.net
The normalized reliability function as a function of the frequency of... | Download Scientific ...
720×540
slidetodoc.com
Reliability is an important function used to predict
1280×720
linkedin.com
Estimating and Testing Reliability Function: A Guide
850×458
researchgate.net
Reliability parameters: a) reliability function, b) failure rate | Download Scientific Diagram
某些结果已被隐藏,因为你可能无法访问这些结果。
显示无法访问的结果
报告不当内容
请选择下列任一选项。
无关
低俗内容
成人
儿童性侵犯
反馈