你提供的照片可能用于改善必应图片处理服务。
隐私政策
|
使用条款
无法使用此链接。检查链接是否以 "http://" 或 "https://" 开头,然后重试。
无法处理此搜索。请尝试其他图像或关键字。
试用视觉搜索
使用图像搜索、识别对象和文本、翻译或解决问题
将一个或多个图像拖到此处,
上传图像
或
打开相机
将图像放到此处以开始搜索
要使用可视化搜索,请在浏览器中启用相机
English
全部
搜索
图片
灵感
创建
集合
视频
地图
资讯
更多
购物
航班
旅游
笔记本
自动播放所有 GIF
在这里更改自动播放及其他图像设置
自动播放所有 GIF
拨动开关以打开
自动播放 GIF
图片尺寸
全部
小
中
大
特大
至少... *
自定义宽度
x
自定义高度
像素
请为宽度和高度输入一个数字
颜色
全部
仅限颜色
黑白
类型
全部
照片
剪贴画
素描
动画 GIF
透明
版式
全部
方形
横版
高
人物
全部
仅脸部
半身像
日期
全部
过去 24 小时
过去一周
过去一个月
去年
授权
全部
所有创作共用
公共领域
免费分享和使用
在商业上免费分享和使用
免费修改、分享和使用
在商业上免费修改、分享和使用
详细了解
清除筛选条件
安全搜索:
中等
严格
中等(默认)
关闭
筛选器
900×1164
allimportantnotes.com
Class 12 Maths Probability Notes …
467×244
byjus.com
Probability For Class 12 | Probability Formulas For Class 12
1280×720
odysee.com
Probability Grade 12 Mathematics
1700×2200
vidyakul.com
Class 12th Math Probability NCERT Solution CBSE 2023
1700×2200
vidyakul.com
Class 12th Math Probablitity Formulas CBSE 2023
786×485
classnotes.guru
WBCHSE Solutions For Class 12 Maths Probability Distribution - Class Notes
1152×983
appliedmaths.in
Class 12 CBSE Applied Maths Probability Exercise 9.1
1750×1238
studypool.com
SOLUTION: Class 12 maths probability - Studypool
2048×1152
slideshare.net
Formulas of Probability :Class 12 maths | PPTX
1620×2291
studypool.com
SOLUTION: Class 12 math…
1700×2200
byjus.com
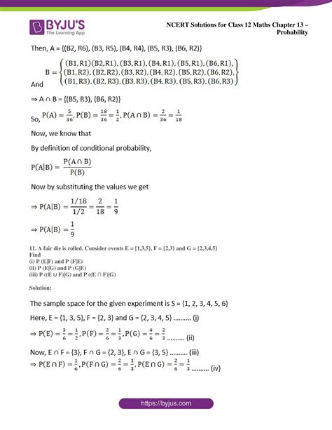
NCERT Solutions for Class 12 Maths Chapter 13 Probability
1700×2200
byjus.com
NCERT Solutions for Class 12 Math…
504×541
learncbse.in
NCERT Solutions For Class 12 Maths Chapter 13
1700×2200
vidyakul.com
Class 12th Math Probablitity Form…
786×485
classnotes.guru
WBCHSE Solutions For Class 12 Maths Probability - Class Notes
750×1125
mathmadeeasy.co
Class 12 Maths-How to learn P…
2058×2911
cuemath.com
NCERT Solutions for Class 12 M…
498×295
studiestoday.com
CBSE Class 12 Mathematics HOTs Probability
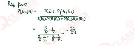
1842×757
iqclasses.in
Class 12 ISC Maths Important Notes Chapter Probability
1592×875
iqclasses.in
Class 12 ISC Maths Important Notes Chapter Probability
822×977
iqclasses.in
Class 12 ISC Maths Importa…
801×398
iqclasses.in
Class 12 ISC Maths Important Notes Chapter Probability
1080×424
www.reddit.com
Help please class 12 maths probability chapter : r/CBSE
1197×642
iqclasses.in
Class 12 CBSE Maths Board Questions Chapter Probability
1111×580
iqclasses.in
Class 12 CBSE Maths Board Questions Chapter Probability
994×218
iqclasses.in
Class 12 CBSE Maths Board Questions Chapter Probability
1108×384
iqclasses.in
Class 12 CBSE Maths Board Questions Chapter Probability
1031×384
iqclasses.in
Class 12 CBSE Maths Board Questions Chapter Probability
613×551
studiestoday.com
NCERT Solutions Class 12 Maths Probability
1200×675
jagranjosh.com
CBSE Class 12 Maths Chapter 13 Probability MCQs
397×357
learncbse.in
NCERT Solutions for Class 12 Maths Chapter 13 Probability Ex 1…
471×133
wbbsesolutions.net
WBCHSE Class 12 Maths Solutions For Probability Distribution - WBBSE Solutions
504×113
wbbsesolutions.net
WBCHSE Class 12 Maths Solutions For Probability Distribution - WBBSE Solutions
523×139
wbbsesolutions.net
WBCHSE Class 12 Maths Solutions For Probability Distribution - WBBSE Solutions
474×266
jagranjosh.com
CBSE Class 12 Maths
某些结果已被隐藏,因为你可能无法访问这些结果。
显示无法访问的结果
报告不当内容
请选择下列任一选项。
无关
低俗内容
成人
儿童性侵犯
反馈