你提供的照片可能用于改善必应图片处理服务。
隐私政策
|
使用条款
无法使用此链接。检查链接是否以 "http://" 或 "https://" 开头,然后重试。
无法处理此搜索。请尝试其他图像或关键字。
试用视觉搜索
使用图像搜索、识别对象和文本、翻译或解决问题
将一个或多个图像拖到此处,
上传图像
或
打开相机
将图像放到此处以开始搜索
要使用可视化搜索,请在浏览器中启用相机
English
全部
搜索
图片
灵感
创建
集合
视频
地图
资讯
更多
购物
航班
旅游
笔记本
自动播放所有 GIF
在这里更改自动播放及其他图像设置
自动播放所有 GIF
拨动开关以打开
自动播放 GIF
图片尺寸
全部
小
中
大
特大
至少... *
自定义宽度
x
自定义高度
像素
请为宽度和高度输入一个数字
颜色
全部
仅限颜色
黑白
类型
全部
照片
剪贴画
素描
动画 GIF
透明
版式
全部
方形
横版
高
人物
全部
仅脸部
半身像
日期
全部
过去 24 小时
过去一周
过去一个月
去年
授权
全部
所有创作共用
公共领域
免费分享和使用
在商业上免费分享和使用
免费修改、分享和使用
在商业上免费修改、分享和使用
详细了解
清除筛选条件
安全搜索:
中等
严格
中等(默认)
关闭
筛选器
768×1024
scribd.com
Water Potential Practice Page 1 PDF | PDF
180×234
coursehero.com
Water Potential Practice Problems 1 .docx - 20 point…
270×350
TeachersPayTeachers
Water Potential Practice by Christa Pedata | TPT
255×350
www.teacherspayteachers.com
Water Potential Practice Problems by Science with M…
180×234
coursehero.com
Water Potential Practice Questions - AP Water Poten…
180×139
coursehero.com
WaterPotential Problems - Practice Problems Osmosis …
1200×1553
studocu.com
Water Potential Practice Problems-1 - Water Potentia…
768×1024
scribd.com
Water Potential Problems Answer Key | PDF
768×1024
scribd.com
Water Potential Practice Problems | PDF | Stoma | Bi…
255×350
www.teacherspayteachers.com
Water Potential Practice Problems by Science with M…
180×234
coursehero.com
Ramneek Kaur - Water Potential Practice Problems.…
270×350
www.teacherspayteachers.com
Water potential practice problems | TPT
768×994
studylib.net
Osmosis & Water Potential Practice Problems
180×234
coursehero.com
Water Potential practice problems key.pdf - | Course …
180×234
coursehero.com
Water Potential Practice Problems 19-20.doc - AP Bi…
612×792
www.teacherspayteachers.com
Water Potential Practice Problems by Science Corne…
576×792
www.teacherspayteachers.com
Water Potential Practice Problems by Science with M…
180×234
coursehero.com
Water Potential Practice Questions KEY.pdf - | Cours…
180×234
coursehero.com
AP Biology Water Potential Practice Problems | Course …
300×225
studylib.net
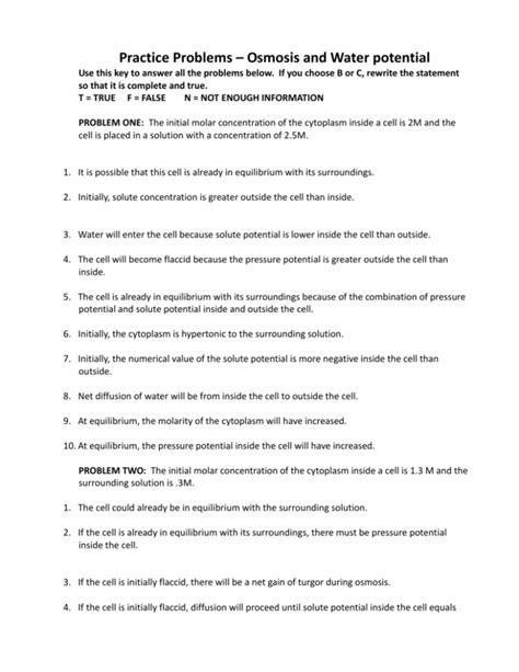
Practice Problems – Osmosis and Water potential
180×234
coursehero.com
Water Potential Tutorial Sample Problems with Link.…
180×234
coursehero.com
AP Biology Water Potential Practice Problems | Course …
180×233
coursehero.com
Understanding Water Potential: Definition, Factors…
270×350
www.teacherspayteachers.com
Water Potential Practice Problems by Science Corne…
576×792
www.teacherspayteachers.com
Water Potential Practice Problems by Science with M…
180×234
coursehero.com
Abdullah Syed - Water Potential Practice Problems …
180×234
coursehero.com
Mastering Water Potential: AP Biology Practice Problems | …
180×234
coursehero.com
Water Potential Practice 2020 APbio.docx - AP Biology Wa…
768×994
studylib.net
AP Biology Water Potential Practice Problems
791×1024
studylib.net
ws: Water Potential Practice Problems
270×350
TeachersPayTeachers
Water Potential Practice by Christa Pedata | TPT
180×234
coursehero.com
36 - 1 - Water Potential Practice problems.doc - * us…
270×350
www.teacherspayteachers.com
Water Potential Practice Part 3 by Christa Pedata | TpT
180×234
coursehero.com
Water Potential Problems.pdf - Water Potential Practice Pro…
1200×1553
studocu.com
Practice problems - water potential - ak - AP Water Pot…
某些结果已被隐藏,因为你可能无法访问这些结果。
显示无法访问的结果
报告不当内容
请选择下列任一选项。
无关
低俗内容
成人
儿童性侵犯
反馈