你提供的照片可能用于改善必应图片处理服务。
隐私政策
|
使用条款
无法使用此链接。检查链接是否以 "http://" 或 "https://" 开头,然后重试。
无法处理此搜索。请尝试其他图像或关键字。
试用视觉搜索
使用图像搜索、识别对象和文本、翻译或解决问题
将一个或多个图像拖到此处,
上传图像
或
打开相机
将图像放到此处以开始搜索
要使用可视化搜索,请在浏览器中启用相机
English
全部
搜索
图片
灵感
创建
集合
视频
地图
资讯
更多
购物
航班
旅游
笔记本
自动播放所有 GIF
在这里更改自动播放及其他图像设置
自动播放所有 GIF
拨动开关以打开
自动播放 GIF
图片尺寸
全部
小
中
大
特大
至少... *
自定义宽度
x
自定义高度
像素
请为宽度和高度输入一个数字
颜色
全部
仅限颜色
黑白
类型
全部
照片
剪贴画
素描
动画 GIF
透明
版式
全部
方形
横版
高
人物
全部
仅脸部
半身像
日期
全部
过去 24 小时
过去一周
过去一个月
去年
授权
全部
所有创作共用
公共领域
免费分享和使用
在商业上免费分享和使用
免费修改、分享和使用
在商业上免费修改、分享和使用
详细了解
清除筛选条件
安全搜索:
中等
严格
中等(默认)
关闭
筛选器
768×1024
scribd.com
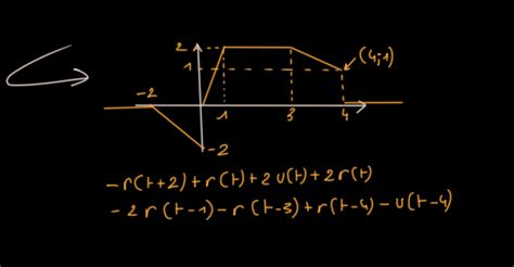
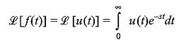
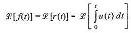
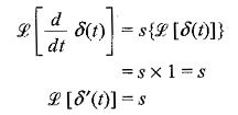
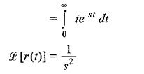
Generation of Impulse, Unit Ste…
768×1024
scribd.com
Expression in Terms of Unit Ste…
888×634
blogspot.com
ExtremeVoltages: Unit step and Ramp Function in MATLAB
555×418
ankurm.com
Plotting Unit Impulse, Unit Step, Unit Ramp and Exponential Function in …
456×354
numerade.com
[12pt] Unit step and unit ramp. a. Express the following signal usin…
2000×1500
Stack Exchange
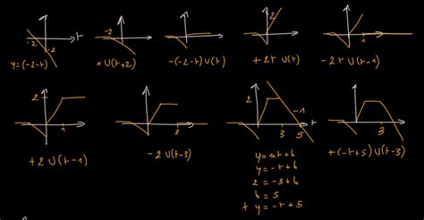
signal theory - Unit step function and ramp function - Electrical Engineeri…
864×639
Stack Exchange
signal theory - Unit step function and ramp function …
1185×615
Stack Exchange
signal theory - Unit step function and ramp function - Electrical Engineering Stack Exc…
1242×635
Stack Exchange
signal theory - Unit step function and ramp function - Electrical Engineering Stack Exc…
795×413
Stack Exchange
signal theory - Unit step function and ramp function - Electrical Engineering Stack Exch…
576×700
chegg.com
Figure 3.5 Unit step function wi…
885×234
chegg.com
Solved [10pt] Unit step and unit ramp.a. Express the | Chegg.com
1024×280
Chegg
Solved t,t20 4. Unit step and ramp functions. The unit ramp | Chegg.com
1600×598
chegg.com
Solved 5. Express y(t) with unit step function and unit ramp | Chegg.com
1650×1198
askfilo.com
Q.1. Explain unit step, unit ramp and unit impulse function. Also write t..
537×700
chegg.com
Solved 3. [12pt] Unit step and uni…
899×587
Chegg
Solved a) Finite step: b) Ramp c) Show that the ramp | Chegg.com
1126×530
chegg.com
Solved by using unit step function and ramp function and | Chegg.com
768×628
chegg.com
Solved unit step unit ramp sinusoidal function 10 0.5 0.5…
947×572
chegg.com
Solved Note: u(t) is a unit step, and r(t) is a unit ramp 1) | Chegg.com
267×168
statisticshowto.com
Unit Ramp Function - Statistics How To
480×360
edurev.in
Unit Step and Unit Ramp Sequences Video Lecture - Cras…
474×143
solutionspile.com
[Solved]: Obtain the unit-step response, unit-ramp response
258×65
eeeguide.com
Unit Ramp Function | Unit Step Function | Unit Impulse Function
206×106
eeeguide.com
Unit Ramp Function | Unit Step Function | Unit Impulse Func…
793×406
Chegg
Solved Express the function f(t) in terms of unit ramp | Chegg.com
859×1024
chegg.com
Solved unit step, unit ramp, unit im…
300×172
eeeguide.com
Unit Ramp Function | Unit Step Function | Unit Impuls…
428×58
eeeguide.com
Unit Ramp Function | Unit Step Function | Unit Impulse Function
216×105
eeeguide.com
Unit Ramp Function | Unit Step Function | Unit Impuls…
253×64
eeeguide.com
Unit Ramp Function | Unit Step Function | Unit Impulse Function
300×172
eeeguide.com
Unit Ramp Function | Unit Step Function | Unit Impuls…
301×178
eeeguide.com
Unit Ramp Function | Unit Step Function | Unit Impuls…
215×123
eeeguide.com
Unit Ramp Function | Unit Step Function | Unit Impu…
1024×524
chegg.com
Solved write the following in terms of unit step and or ramp | Chegg.com
某些结果已被隐藏,因为你可能无法访问这些结果。
显示无法访问的结果
报告不当内容
请选择下列任一选项。
无关
低俗内容
成人
儿童性侵犯
反馈