你提供的照片可能用于改善必应图片处理服务。
隐私政策
|
使用条款
无法使用此链接。检查链接是否以 "http://" 或 "https://" 开头,然后重试。
无法处理此搜索。请尝试其他图像或关键字。
试用视觉搜索
使用图像搜索、识别对象和文本、翻译或解决问题
将一个或多个图像拖到此处,
上传图像
或
打开相机
将图像放到此处以开始搜索
要使用可视化搜索,请在浏览器中启用相机
English
全部
搜索
图片
灵感
创建
集合
视频
地图
资讯
Copilot
更多
购物
航班
旅游
笔记本
自动播放所有 GIF
在这里更改自动播放及其他图像设置
自动播放所有 GIF
拨动开关以打开
自动播放 GIF
图片尺寸
全部
小
中
大
特大
至少... *
自定义宽度
x
自定义高度
像素
请为宽度和高度输入一个数字
颜色
全部
仅限颜色
黑白
类型
全部
照片
剪贴画
素描
动画 GIF
透明
版式
全部
方形
横版
高
人物
全部
仅脸部
半身像
日期
全部
过去 24 小时
过去一周
过去一个月
去年
授权
全部
所有创作共用
公共领域
免费分享和使用
在商业上免费分享和使用
免费修改、分享和使用
在商业上免费修改、分享和使用
详细了解
清除筛选条件
安全搜索:
中等
严格
中等(默认)
关闭
筛选器
320×320
researchgate.net
Structure of the full model containing a two-compart…
1505×1130
tutorials.pumas.ai
Exercise PK08 - Two-Compartment Distribution Models (Part 5 - Using …
960×720
blog.djnavarro.net
Closed form solutions for a two-compartment pharmacokinetic mod…
850×254
ResearchGate
Schematic diagram of the two-compartment population PK model. CL... | Download Scientific Diagram
419×419
ResearchGate
Schematic diagram of the two-compartme…
684×887
researchgate.net
Two-compartment …
582×271
researchgate.net
A fractional two-compartment PK model with an i.v. bolus. Elimination... | Download Scie…
1024×768
slideserve.com
PPT - PK/PD Modeling in Support of Drug Developme…
720×540
slidetodoc.com
ANNbased image segmentation and classification for dynamic contrasten…
500×315
quizlet.com
PK - Kinetics of drug distribution - The two compartment model Fla…
271×271
researchgate.net
A fractional two-compartment PK …
311×197
ResearchGate
Schema of the two-compartment PK mode…
813×598
researchgate.net
A schematic diagram of the PKPD models in the library…
767×359
researchgate.net
Schematic of the 2-compartment PK modeling for melperone based on first...
522×162
researchgate.net
Schematic representation of the structural PK model with a parallel... | Download Scientific Dia…
197×197
ResearchGate
Schema of the two-compartment PK …
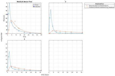
959×577
MathWorks
Fit Two-Compartment Model to PK Profiles of Multiple Individuals - MATLAB & Simul…
1024×768
SlideServe
PPT - Predictive Drug Absorption Models PowerPoint Presentation, free download …
1280×720
www.youtube.com
환경보건학을 위한 PK 3-2: Two-compartment model (1) - YouTube
638×478
slideshare.net
Two compartment model | PPTX
2:53
YouTube > Comparative pharmacokinetics lectures
Lecture 1 Two compartment models
YouTube · Comparative pharmacokinetics lectures · 5.8万 个浏览人数 · 2017年6月14日
2048×1536
slideshare.net
Compartment Modelling | PPTX
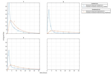
1200×800
MathWorks
Fit Two-Compartment Model to PK Profiles of Multiple Individuals - MATL…
421×188
pharmacy180.com
Two-Compartment Open Model: Intravenous Bolus Administration - Compartment Modelling
368×269
boomer.org
PK-PD Modeling Simulation
320×320
researchgate.net
The PK profiles were well captured by a two-com…
1024×768
SlideServe
PPT - Compartment Models PowerPoint Presentation, free downl…
640×480
slideshare.net
Two compartment model | PPTX
850×374
researchgate.net
Description of Pharmacokinetic Two-Compartment Model and Model Solutions | …
500×278
quizlet.com
Two Compartment Models Flashcards | Quizlet
709×853
researchgate.net
Case Study #1: two-compartment PK model for a…
850×731
researchgate.net
Overview of the 1D thrombolytic model. (a) Two-…
1200×800
MathWorks
Fit Two-Compartment Model to PK Profiles of Multiple Individuals - MATL…
850×311
researchgate.net
Schematic representation of a 2-compartment population PK model with a... | Download Scientific ...
850×907
researchgate.net
Two - compartment modelling structure | Do…
某些结果已被隐藏,因为你可能无法访问这些结果。
显示无法访问的结果
报告不当内容
请选择下列任一选项。
无关
低俗内容
成人
儿童性侵犯
反馈